Rev 1858 – kaklik – 5391 d 0 h (2011-02-19 16:02:09)
přesunutí některých konstrukcí do nové složky.
Subversion Repositories
–
MLAB
MLAB
library
svnkaklik
MLAB_E
8magsvn
Català-Valencià – Catalan
中文 – Chinese (Simplified)
中文 – Chinese (Traditional)
Česky – Czech
Dansk – Danish
Nederlands – Dutch
English – English
Suomi – Finnish
Français – French
Deutsch – German
עברית – Hebrew
हिंदी – Hindi
Magyar – Hungarian
Bahasa Indonesia – Indonesian
Italiano – Italian
日本語 – Japanese
한국어 – Korean
Македонски – Macedonian
मराठी – Marathi
Norsk – Norwegian
Polski – Polish
Português – Portuguese
Português – Portuguese (Brazil)
Русский – Russian
Slovenčina – Slovak
Slovenščina – Slovenian
Español – Spanish
Svenska – Swedish
Türkçe – Turkish
Українська – Ukrainian
Oëzbekcha – Uzbek
(root)
/
/
Designs
/
Data_loggers
/
galileo_experiment
/
DOC
/
gnuplot/
@ 4129
Search
Rev 4993
Rev 1500
Compare with Previous
Last modification
View Log
Download
Path
Last modification
Log
Download
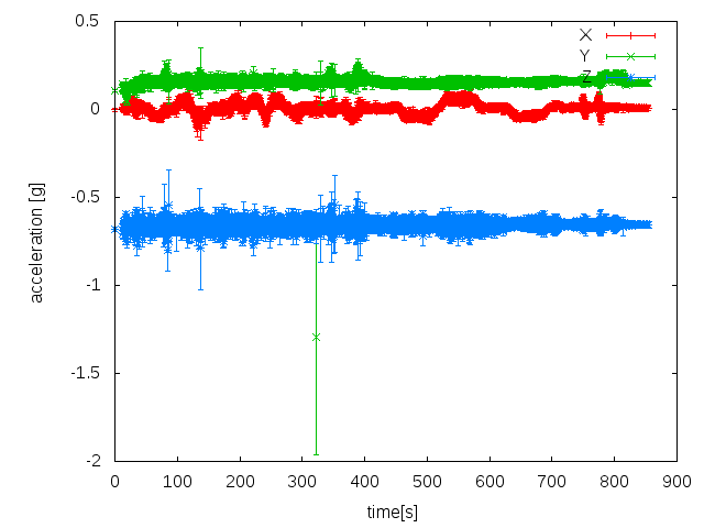
olbramovice_benesov.png
1500
5669 d 5 h
kaklik
Log
Download
olbramovice_benesov.txt
1500
5669 d 5 h
kaklik
Log
Download
plot.gp
1500
5669 d 5 h
kaklik
Log
Download
sobeslav_tabor.png
1500
5669 d 5 h
kaklik
Log
Download
sobeslav_tabor.txt
1500
5669 d 5 h
kaklik
Log
Download
tabor_olbramovice.png
1500
5669 d 5 h
kaklik
Log
Download
tabor_olbramovice.txt
1500
5669 d 5 h
kaklik
Log
Download