MLAB
library
svnkaklik
MLAB_E
8magsvn
Català-Valencià – Catalan
中文 – Chinese (Simplified)
中文 – Chinese (Traditional)
Česky – Czech
Dansk – Danish
Nederlands – Dutch
English – English
Suomi – Finnish
Français – French
Deutsch – German
עברית – Hebrew
हिंदी – Hindi
Magyar – Hungarian
Bahasa Indonesia – Indonesian
Italiano – Italian
日本語 – Japanese
한국어 – Korean
Македонски – Macedonian
मराठी – Marathi
Norsk – Norwegian
Polski – Polish
Português – Portuguese
Português – Portuguese (Brazil)
Русский – Russian
Slovenčina – Slovak
Slovenščina – Slovenian
Español – Spanish
Svenska – Swedish
Türkçe – Turkish
Українська – Ukrainian
Oëzbekcha – Uzbek
Subversion Repositories
svnkaklik
(root)
/
/
dokumenty
/
skolni
/
VAK
/
turbomolekularni_vyveva/
@ 1018
– Rev 1175
Rev
Search
Rev 711
|
Last modification
|
Compare with Previous
|
View Log
|
Download
Last modification
Rev 720 2011-02-10 23:12:42
Author:
kaklik
Log message:
prĂ¡ce na protokolech
Path
Last modification
Log
Download
mereni 8.12/
720
5411 d 16 h
kaklik
Log
Download
spektrometr/
708
5466 d 23 h
kaklik
Log
Download
cerpani.png
720
5411 d 16 h
kaklik
Log
Download
cerpani_desorpce.png
720
5411 d 16 h
kaklik
Log
Download
cerpani_otacky.png
720
5411 d 16 h
kaklik
Log
Download
cerpani_parcialni.png
720
5411 d 16 h
kaklik
Log
Download
data.ods
707
5467 d 0 h
kaklik
Log
Download
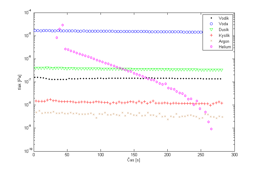
difuze_helium.png
720
5411 d 16 h
kaklik
Log
Download
hmotnostni_spektrum.png
720
5411 d 16 h
kaklik
Log
Download
TMV-data.ods
711
5441 d 1 h
kaklik
Log
Download
TMV.pdf
720
5411 d 16 h
kaklik
Log
Download
TMV.tex
720
5411 d 16 h
kaklik
Log
Download
zadani.txt
707
5467 d 0 h
kaklik
Log
Download